Testy

Test studijních předpokladů pro bakalářské obory - Test B3

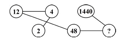
Z otázek 1-30 vyberte vždy jednu správnou odpověď.


Test spuštěn 27. 10. 2025 7.34:41

Do konce testu zbývá 27. 10. 2025 8.34:41

TOP školy

ART & DESIGN INSTITUT

Slezská 68, 130 00 Praha 3 - Vinohrady
Telefon: 731 50 20 50
Web: www.adi.cz

To mě zajímá

GYMNÁZIUM MICHAEL

Machkova 1646/1, 149 00 Praha 4
Telefon: +420 724 158 658
Web: www.gymplmichael.cz

To mě zajímá

Vysoká škola kreativní komunikace

Na Pankráci 420/54, 14000 Praha 4 – Nusle
Telefon: 607 041 436
Web: www.vskk.cz

To mě zajímá

Gymnázium FOSTRA s. r.o.

Havlíčkovo náměstí 10, 130 00 Praha
Telefon: +420737602434
Web: www.fostra.cz

To mě zajímá

Chcete zde také zviditelnit vaši školu?

Chci více informací

Nejbližší akce na školách

Zobrazit další akce
Den otevřených dveří

Střední průmyslová škola Chrudim, Chrudim

To mě zajímá

Den otevřených dveří

Obchodní akademie a střední škola polytechnická Veselí nad Moravou, příspěvková organizace, Veselí nad Moravou

To mě zajímá

Den otevřených dveří

Fakulta logistiky a krizového řízení, Uherské Hradiště

To mě zajímá

Den otevřených dveří

Fakulta managementu a ekonomiky, Zlín

To mě zajímá

Den otevřených dveří

Univerzita Tomáše Bati ve Zlíně, Zlín

To mě zajímá

Den otevřených dveří

Střední umělecká škola, Ostrava, příspěvková organizace, Ostrava

To mě zajímá

Den otevřených dveří

Obchodní akademie a střední škola polytechnická Veselí nad Moravou, příspěvková organizace, Veselí nad Moravou

To mě zajímá

Den otevřených dveří

Gymnázium FOSTRA s. r.o., Praha

To mě zajímá

Den otevřených dveří

Gymnázium, Střední pedagogická škola, Obchodní akademie a Jazyková škola s právem státní jazykové zkoušky, Znojmo, příspěvková organizace, Znojmo

To mě zajímá

Den otevřených dveří

Masarykova střední škola chemická, Praha

To mě zajímá

Chcete inzerovat vaši školu?

Rychlý kontakt

info@seznamskol.eu

* Chcete zavolat nebo napsat do vaší školy? Přejděte na její profil. Tohle jsou kontakty na provozovatele serveru SeznamŠkol.eu.

Provozovatel webu

just4web.cz s.r.o.
IČ: 27547876

Přejít na kontakt