Testy

Test z Matematiky pro bakalářské obory - Varianta 2

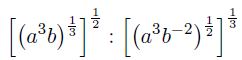
V každém příkladě je právě jedna z uvedených variant řešením. Za správnou variantu je 5 bodů, za označený chybný výsledek je 0 bodů.


Test spuštěn 1. 4. 2026 23.17:32

Do konce testu zbývá 2. 4. 2026 0.17:32

TOP školy

Střední škola mediální grafiky a tisku

Beranových 140/695, 199 00 Praha 18
Telefon: 274 868 770
Web: www.medialnigrafika.cz

To mě zajímá

ART & DESIGN INSTITUT

Slezská 68, 130 00 Praha 3 - Vinohrady
Telefon: 731 50 20 50
Web: www.adi.cz

To mě zajímá

Vysoká škola kreativní komunikace

Na Pankráci 420/54, 14000 Praha 4 – Nusle
Telefon: 607 041 436
Web: www.vskk.cz

To mě zajímá

MBA institut CEMI

Mezi Vodami 639/27, 143 00 Praha
Telefon: 724 243 959
Web: www.cemi.cz

To mě zajímá

GYMNÁZIUM MICHAEL

Machkova 1646/1, 149 00 Praha 4
Telefon: +420 724 158 658
Web: www.gymplmichael.cz

To mě zajímá

Chcete zde také zviditelnit vaši školu?

Chci více informací

Nejbližší akce na školách

Zobrazit další akce
Den otevřených dveří

Střední zdravotnická škola a Vyšší odborná škola zdravotnická, Ostrava, příspěvková organizace, Ostrava

To mě zajímá

Zápis na školní rok 2026/2027

Mateřská škola, Praha 10, Ve Stínu 2103/10, příspěvková organizace, Praha

To mě zajímá

Přijímací řízení

Vojenská střední škola a Vyšší odborná škola Ministerstva obrany, Moravská Třebová

To mě zajímá

Přijímací řízení

Vojenská střední škola a Vyšší odborná škola Ministerstva obrany, Moravská Třebová

To mě zajímá

Den otevřených dveří

Vyšší odborná škola, Střední průmyslová škola a Obchodní akademie, Čáslav, Čáslav

To mě zajímá

Přijímací řízení

Institut celoživotního vzdělávání MENDELU, Brno

To mě zajímá

Den otevřených dveří

Vyšší odborná škola EDUCARI - Brno, s.r.o, Brno

To mě zajímá

Den otevřených dveří

Vyšší odborná škola publicistiky, Praha 1

To mě zajímá

Den otevřených dveří

Vyšší odborná škola EDUCARI, s.r.o., Tábor

To mě zajímá

Den otevřených dveří

Vysoká škola kreativní komunikace, Praha 4 – Nusle

To mě zajímá

Chcete inzerovat vaši školu?

Rychlý kontakt

info@seznamskol.eu

* Chcete zavolat nebo napsat do vaší školy? Přejděte na její profil. Tohle jsou kontakty na provozovatele serveru SeznamŠkol.eu.

Provozovatel webu

just4web.cz s.r.o.
IČ: 27547876

Přejít na kontakt